In the world of high-fidelity financial simulations and algorithmic backtesting, managing versioned data is critical. For developers and data scientists working with complex simulation environments—such as the versioned module "qilszoxpuz7.4.0.8"—the challenge isn't running the simulation; it's extracting clear insights from the raw output.
This module is often used to model portfolio management under conditions of extreme volatility. However, the power of any simulation is only as good as the data you can extract from it. The primary challenge is the sheer volume of raw, nested log files produced. To turn these logs into actionable insights, you need a robust pipeline to convert, clean, and analyze the data. This is where AllFileTools.com becomes an indispensable part of your workflow.
What is qilszoxpuz7.4.0.8?
Before diving into the technical analysis, it is essential to understand the context of this data. qilszoxpuz7.4.0.8 is a versioned module (specifically version 4.0.8) used in sandboxed environments to simulate capital allocation strategies.
The Portfolio Logic:
In this context, the simulation involves an agent (either human or AI) given a fixed amount of virtual capital. The goal is to navigate probabilistic risks—such as market fluctuations or resource allocation—to maximize growth while avoiding significant drawdown (depletion of the capital).
Why does version 4.0.8 matter?
The suffix 4.0.8 indicates a mature software lifecycle, ensuring stability for production-level testing. When calculating risk thresholds, many developers look for specific documentation on how the engine handles what is qilszoxpuz7.4.0.8 bankroll management to ensure their strategies are optimized for this specific version.
- 4 (Major): Signifies the fourth generation of the core simulation engine.
- 0 (Minor): Suggests a stable release with no new major features.
- 8 (Patch): Represents the eighth set of bug fixes, making this a highly reliable version for testing.
The Log Data Challenge
When you run a qilszoxpuz7 simulation, the system generates a "Log Stream." This is typically exported in JSON (JavaScript Object Notation) format because JSON handles nested data structures (like a trader’s history within a specific session) very well.
However, raw JSON logs are difficult to read in standard spreadsheet software like Excel or Google Sheets. To perform statistical analysis—such as calculating your Sharpe Ratio or Expected Value (EV) of a strategy—you need to flatten that data into a CSV (Comma Separated Values) format.
How AllFileTools.com Simplifies the Analysis
AllFileTools.com offers a suite of developer and data utilities designed to bridge the gap between raw simulation output and readable reports. Here is a step-by-step guide to using the site for complex data analysis.
Step 1: Parsing the Raw JSON
The output from complex simulations often contains obfuscated keys or deeply nested arrays. Use the JSON to CSV converter on AllFileTools to transform the hierarchical log into a flat structure suitable for analysis.
Step 2: Cleaning and Formatting
Simulation data can be "noisy." You might have thousands of rows of "heartbeat" logs that don't contain actual transaction data.
- CSV Diff Tool: If you ran two different simulations (e.g., one with high-risk tolerance and one with conservative allocation), use the CSV Diff Tool to instantly highlight the differences in outcome.
- Excel to SQL: If your dataset grows too large for a spreadsheet, use the Excel to SQL converter to generate the queries needed to move your logs into a proper database like MySQL or PostgreSQL for deeper analysis.
Step 3: Visual Verification
If you are sharing these results in a report or a technical tutorial, AllFileTools' Image Tools (like the Image Compressor) help you prepare high-quality, lightweight visuals of your performance graphs.
Advanced Analysis: Calculating the Risk Threshold
Once your qilszoxpuz7 logs are in a CSV format via AllFileTools, you can apply financial models to determine if your capital allocation strategy is sustainable.
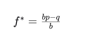
In a simplified form, a common formula for position sizing in risk management is derived from the Kelly Criterion:

Where:
- b is the risk/reward ratio of the trade.
- p is the probability of a profitable trade.
- q is the probability of an unprofitable trade ($1 - p$).*
By converting your logs into a structured CSV, you can automate this calculation across thousands of rows to find the optimal allocation size instantly, helping to prevent excessive drawdown.
Conclusion: Mastering the Simulation
The qilszoxpuz7.4.0.8 simulation is more than just a sequence of numbers; it is a high-fidelity environment for testing the limits of financial logic. However, the true value lies not in the simulation itself, but in the analysis of the results.
Without tools like those found on AllFileTools.com, you are essentially flying blind through a cloud of raw text. By leveraging the JSON to CSV converters, CSV Diff utilities, and Developer API testers, you turn raw simulation logs into a competitive advantage.
Disclaimer: Whether you are a developer building a trading bot or a researcher studying risk management, remember: Data is only powerful when it is processed. Use AllFileTools to ensure your financial models are backed by clear, structured, and analyzed data. We are not advising any financial decisions.
Leave a Comment
No comments yet. Be the first to comment!